变限积分的求导方法主要可以分为三种情况:1. 常数限的积分求导;2. 变量下限的积分求导;3. 变量上限的积分求导。理解和掌握这三种情况对于深入学习微积分及其应用具有重要意义。
变限积分是在积分限上存在变量的情况下进行的积分运算,其求导法则相对复杂。本文将详细探讨这三种类型的变限积分求导,并给出相应的公式和示例。
一: 常数限的积分求导
当积分的上下限均为常数时,变限积分的求导过程较为简单。根据微积分基本定理,如果 \( F(x) = \int_{a}^{b} f(t) \, dt \),其中 \( a \) 和 \( b \) 是常数,那么 \( F'(x) = 0 \)。这是因为常数限下的积分值不会随 \( x \) 的变化而变化。
例如,考虑 \( F(x) = \int_{0}^{2} (t^2 + 1) \, dt \)。计算该不定积分得:
\[
F(x) = [\frac{t^3}{3} + t]_{0}^{2} = (\frac{8}{3} + 2) - 0 = \frac{14}{3}
\]
经过求导,我们得到 \( F'(x) = 0 \)。因此,在常数限的情况下,上述性质确保了求导结果的简洁性。

二: 变量下限的积分求导
当积分的下限为变量 \( g(x) \),而上限为常数 \( b \) 时,求导会受到链式法则的影响。根据微积分基本定理及链式法则,有以下公式:
\[
F(x) = \int_{g(x)}^{b} f(t) \, dt \implies F'(x) = -f(g(x)) \cdot g'(x)
\]
这个公式的负号来源于下限的增加会导致积分值减少。举个例子,设 \( F(x) = \int_{x}^{2} (t^2 + 1) \, dt \)。我们计算这个积分:
\[
F(x) = \int_{x}^{2} (t^2 + 1) \, dt = [\frac{t^3}{3} + t]_{x}^{2} = (\frac{8}{3} + 2) - [\frac{x^3}{3} + x]
\]
进一步化简可得,
\[
F(x) = \frac{14}{3} - \frac{x^3}{3} - x
\]
然后,对 \( F(x) \) 进行求导,得到:
\[
F'(x) = -f(x) \cdot 1 = - (x^2 + 1)
\]
所以在下限为变量的情况下,变限积分的求导结果是利用被积函数在下限处的值和下限的导数来决定的。
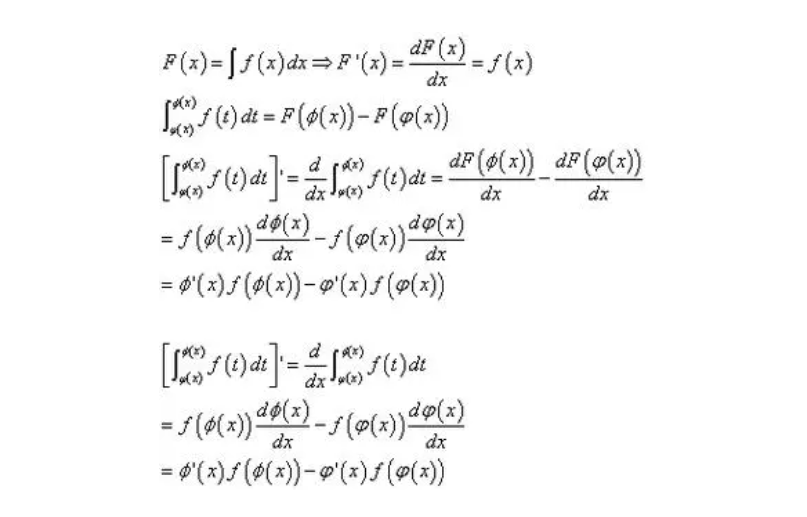
三: 变量上限的积分求导
与前两种情况相对,当积分的上限为变量 \( h(x) \),而下限是常数 \( a \) 时,问题的处理方式也有所不同。对应的求导公式为:
\[
F(x) = \int_{a}^{h(x)} f(t) \, dt \implies F'(x) = f(h(x)) \cdot h'(x)
\]
在这种情况下,内容较为直观:上限的增加会直接导致积分值的增加,因而求导时没有负号。比如,令 \( F(x) = \int_{0}^{x} (t^2 + 1) \, dt \),同样计算积分如下:
\[
F(x) = [\frac{t^3}{3} + t]_{0}^{x} = \frac{x^3}{3} + x
\]
然后,我们对 \( F(x) \) 进行求导,结果为:
\[
F'(x) = f(x) \cdot 1 = x^2 + 1
\]
总结:变限积分求导的三种类型各有其特点和应用场景:1. 常数限的积分导数为零;2. 变量下限的积分导数为被积函数在下限的值乘以下限的导数,并带有负号;3. 变量上限的积分导数为被积函数在上限的值乘以上限的导数。正确理解这三种情况,不仅有助于提升微积分的学习能力,还能拓展到更复杂的数学应用和解决实际问题中。
云作文原创内容,未经允许不得转载。